![]() |
||
| P=8 | ||
| Diameter | 7 | P-1 |
| Valency | 2 | 2 |
| d×v | 14 | 2(P-1) |
| Bisection Bandwidth | B | B |
![]() |
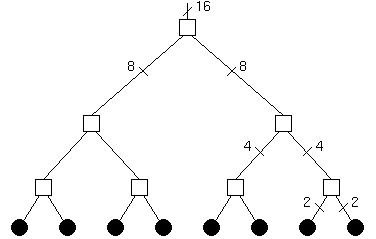
||
| P=16 | ||
| Diameter | 6 | 2(P1/2-1) |
| Valency | 4 | 4 |
| d×v | 24 | 8(P1/2-1) |
| Bisection Bandwidth | 4B | P1/2B |
![]() Hidden nodes and associated links not shown. |
||
| P=64 | ||
| Diameter | 9 | 3(P1/3-1) |
| Valency | 6 | 6 |
| d×v | 54 | 18(P1/3-1) |
| Bisection Bandwidth | 16B | P2/3B |
Grids of greater than 3 dimensions are unlikely to be encountered.
| Diameter | N(P1/N-1) |
| Valency | 2N |
| d×v | 2N2(P1/N-1) |
| Bisection Bandwidth | P(N-1)/NB |
A binary tree is one in which each non-leaf node has two children.
![]() |
||
| P=15 | ||
| Diameter | 6 | 2log2((P+1)/2) |
| Valency | 3 | 3 |
| d×v | 18 | 6log2((P+1)/2) |
| Bisection Bandwidth | B | B |
Note that ((P+1)/2) is the number of leaf nodes.
In a ternary tree each non-leaf node has three children.
![]() |
|
| P=13 | |
| Diameter | 4 |
| Valency | 4 |
| d×v | 16 |
| Bisection Bandwidth | 3B |
Note that the bisection bandwidth gives the impression that this network performs better than it does. In fact it's just difficult to find somewhere to cut it in half.
In a quaternary tree each non-leaf node has four children.
![]() |
|
| P=21 | |
| Diameter | 4 |
| Valency | 5 |
| d×v | 20 |
| Bisection Bandwidth | 2B |
![]() |
||
| P=8 | ||
| Diameter | 4 | P/2 |
| Valency | 2 | 2 |
| d×v | 8 | P |
| Bisection Bandwidth | 2B | 2B |
A 2D torus is a 2D grid with the dangling links connected to make ring connections in each dimension. c.f. a ring network is a line with the dangling links connected.
The simple 2D Torus has the shape of the surface of a doughnut.
![]() |
||
| P=16 | ||
| Diameter | 4 | P1/2 |
| Valency | 4 | 4 |
| d×v | 16 | 4P1/2 |
| Bisection Bandwidth | 8B | 2P1/2B |
A 3D torus is a 3D grid with the dangling links connected to make ring connections in each dimension.
![]() Hidden nodes and associated links not shown. |
||
| P=64 | ||
| Diameter | 6 | 3/2×P1/3 |
| Valency | 6 | 6 |
| d×v | 36 | 9P1/3 |
| Bisection Bandwidth | 32B | 2P2/3B |
Tori of greater than 3 dimensions are unlikely to be encountered.
| Diameter | N/2×P1/N |
| Valency | 2N |
| d×v | N2P1/N |
| Bisection Bandwidth | 2P(N-1)/NB |
A binary hypercube is an N dimensional grid in which each side has only two nodes. Note that a cube is considered to be an ND hypercube with N=3.
![]() |
||
| N=4,P=16 | ||
| Diameter | 4 | log2P=N |
| Valency | 4 | log2P=N |
| d×v | 16 | (log2P)2=N2 |
| Bisection Bandwidth | 8B | PB/2 |
Bisection bandwidth scales linearly with P
![]() |
||
| P=8 | ||
| Diameter | 7 | P-1 |
| Valency | 2 | 2 |
| d×v | 14 | 2(P-1) |
| Bisection Bandwidth | B | B |
A fat tree is one in which the non-root nodes have multiple parents.
In the following binary fat tree each non-root node has two parents.
![]() |
||
| P=8 | ||
| Diameter | 6 | 2log2P |
| Routing Node Valency | 4 | 4 |
| Processing Node Valency | 2 | 2 |
| Bisection Bandwidth | 8B | PB |
Bisection bandwidth scales linearly with P
Alternative representations of the network help to show the increase in bandwidth towards the root of the tree:
In the following quaternary fat tree each non-root node has four parents.
![]() |
||
| P=16 | ||
| Diameter | 4 | log2P |
| Routing Node Valency | 8 | 8 |
| Processing Node Valency | 4 | 4 |
| Bisection Bandwidth | 32B | 2PB |
Bisection bandwidth scales linearly with P
In the following quaternary fat tree each non-root node has two parents. Note that the 4 in 4-ary (quaternary) refers fo the number of children per parent not the number of parents per child.
Far fewer routing nodes are required in this version.
![]() |
||
| P=16 | ||
| Diameter | 4 | log2P |
| Routing Node Valency | 6 | 6 |
| Processing Node Valency | 2 | 2 |
| Bisection Bandwidth | 8B | 2P1/2 |
Although the diameter is unchanged the bisection bandwidth no longer scales linearly with P.
Where routing processors with more links are available, we can create fat trees with greater N.
In all cases the bisection bandwidth will scale linearly with P provided that each non-root routing node has as many parents as children