Skip to main navigation Skip to main content
The University of Southampton
Engineering

Research project: Ultra Low Frequency Vibration Isolation

Currently Active:
Yes

Vehicle occupants and vibration-sensitive equipment such as hard disk drives and printed circuit boards are generally isolated from harsh vibration environments by vibration isolation mounts. Conventional devices are simple (coil springs or rubber elements) but effective only at 'high' frequencies. This project is concerned with modelling nonlinear isolation mounts that can operate effectively at considerably lower frequencies (e.g. below 1Hz).

The static deflection of a linear vibration isolator is inversely proportional to the square of its natural frequency when mass-loaded. Vertical vibration isolation at ultra-low frequencies is therefore not often possible due to limited deformation of the isolator. Nonlinear isolators, however, can be designed to possess high stiffness to take the weight but present low stiffness, once compressed, to small amplitude vibrations.This project has investigated the use of post-buckled beams as isolators which exhibit this characteristic.

A straight beam is an extreme example in which there is a sudden transition from high to low stiffness at the buckling point, represented by the 'kink’ in its force-deflection curve. A smoother transition can be achieved by introducing slight curvature and/or by mounting the beam on linear springs.

Supported on springs to smooth force-deflection curve
Curved beam isolator
Various initial curvature angles
Force-deflection curves

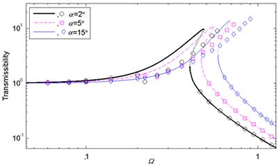
In this project we have modelled the vibration isolation performance of a curved beam isolator. It is shown that such a system can achieve a natural frequency in the region of one-tenth that of a comparable linear isolator. This corresponds to a potential improvement in vibration isolation at high frequencies of 20dB.

High amplitude vibrations cause classic bending of the resonance peak to higher frequencies and a potential jump-up or jump-down in the response. However, if the system is not optimally tuned, i.e. if the isolated mass is too light or too heavy, then a bending first to the left and then to the right can occur.

In a related project Quazi-Zero-Stiffness (QZS) isolators were investigated which can, in theory, achieve isolation at arbitrarily low frequencies. A QZS isolator can be formed by combining a linear isolator with a snap-through mechanism which possesses a region of negative stiffness.

Peak bends to right due to nonlinear stiffness. Small curvature gives lower resonance frequency.
Forced Response Curve

Related research groups

Dynamics Group
Share Share this on Facebook Share this on Twitter Share this on Weibo
Privacy Settings